摘 要 本文对陶瓷电容器材料提出了一种新的三级分类方法,并对该分类法的依据予以探讨,同时说明了本分类系统的特点。
1、前 言:五十年代初,随着电视工业的发展,为了解决电容器因潮湿而失效的问题,以陶瓷为材料、结构简单的瓷片电容器已在低容量电路中广泛应用。此后,不同介电常数、不同结构、不同功能的陶瓷电容器相继出现。当代电子技术向着高频方向发展,只有陶瓷电容器才能在千兆赫以上频率范围内有效地发挥作用。温度补偿电容器,可保证在环境温度变化的情况下,也能正常工作。近年来,电子元件朝着轻薄和小型化发展,对电容器的要求则为增加电容器每单位体积的电容量,多层陶瓷电容器以大容量、小体积而适应了这一趋势。当今陶瓷电容器无论在数量还是在未来发展的潜力方面,都已占据了主导地位。
为进一步开发与研究陶瓷电容器材料,有必要全面了解当今陶瓷电容器材料的现状,因而首先需要一个完整、合理的分类系统。但是,至今陶瓷电容材料的分类方法较多,各有优缺点,尚未达到统一与公认的程度。为此,我们在以往各种分类方法的基础上,提出一种新的分类方法,以供参考。
2、有关陶瓷电容器材料分类法简介:
a.龟子陶瓷材料》一书中,将陶瓷介电材料分为3类,即:①介电系数低于12的绝缘材料;②介电系数高于12的介电材料;③铁电性陶瓷。而障壁层电容器材料有3类,即:Ti0 z, BaTiO s及SrTiO s 。
b.规代陶瓷及其应用》一书中,将介电陶瓷分成非铁电、铁电和反铁电3类。另外提到了半导体陶瓷是另一类陶瓷电容器材料,按其结构分成3类:阻挡层半导体陶瓷、还原氧化型半导体陶瓷、晶界层半导体陶瓷!z1 C. A. .1. Moulson, .1. M. Herbert于1990年将陶瓷介电材料分为3类;①低个电常数陶瓷,主要用作简单的绝缘器,还可用于高频状态下具有小电容特点的电容器;②中介电常数陶瓷;③高介电常数陶瓷,又分改性钦酸钡电介质、其他钙钦矿结构、阻挡层介电材料3类31 d.特种陶瓷》一书中,将电容器陶瓷分为3类:①非铁电电容器陶瓷;②铁电电容器陶瓷;③反铁电电容器陶瓷。又将陶瓷电容器分为4类:①温度热)补偿型电容器;②温度热)稳定型电容器;③高介电常数电容器;④半导体陶瓷电容器!
3、陶瓷电容器材料新分类法:
本分类法将电容器材料按3级分类,首先分为2大类:i)绝缘体类陶瓷电容器材料;交)半导体类陶瓷电容器材料。其中绝缘体类又分2类:1)非铁电体类;如铁电体类。半导体类亦可分为2类:1)还原氧化类;卯晶界层类。铁电类又分3小类:1)铁电体;卯反铁电体;卯弛豫型铁电体。各大类、类及小类关系见下图。

下面就此分类系统中各类常用材料作简要说明。
3. 1、非铁电类陶瓷材料:
非铁电类陶瓷材料包括金红石基、钦酸盐基、锡酸盐基和妮酸盐基陶瓷材料:金红石基材料可制成高频温度热)补偿型陶瓷电容器;钦酸盐基材料包括钦酸钙、钦酸镁陶瓷材料;锡酸盐基材料包括锡酸钙、锡酸钡、锡酸铭等陶瓷材料;妮酸盐材料包括妮铭镁系和妮铭锌系等陶瓷材料。
3. 2、铁电类陶瓷材料:
铁电类陶瓷材料中3小分类是:①铁电体,主要有钙钦矿系材料的钦酸钡陶瓷或以钦酸钡为基的固溶体。另外,钦酸铭也是铁电体材料;②反铁电体,主要有错酸铅或以错酸铅为基的固溶体、妮酸斓等③驰豫型铁电体,包括钙钦矿系的妮镁酸铅、妮锌酸铅等,它是目前最有发展前途的电容器材料之一。
3. 3、半导体类陶瓷电容器材料:
半导体类陶瓷电容器材料中的还原氧化类,是以钦酸钡为材料经还原、氧化等处理制成。晶界层类是以掺杂的钦酸钡或钦酸铭涂覆金属氧化物、热处理等工艺而制成。用上述半导体材料制成多层陶瓷电容器,将会使其体积更小、容量更大,这是今后电容器发展的方向。另外,我们未将以往书刊中提到的阻挡层型半导体陶瓷电容器材料列入分类中,是因其性能不佳,现已被淘汰。
4、新分类法的依据:
a.从材料的电性能上看,固体材料可分为四大类,即绝缘体、半导体、导体和超导体。目前能用作陶瓷电容器材料,仅涉及上述前2类中的一部分,即所有陶瓷电容器材料,均为绝缘体或半导体,但不是所有绝缘体或半导体都能作陶瓷电容器材料。所以我们从物质这一基本属性出发,将陶瓷电容器材料分为绝缘体与半导体两大类。绝缘体可用作两类材料即绝缘材料和介电材料。
绝缘材料介电系数通常小于12,只起绝缘作用,不能用作电容器材料,而介电材料可用作电容器材料,它的介电常数和热损耗角正切tan 8对其在电路中发挥作用最为重要。在分类时不应将绝缘体大类中分支的介电材料与半导体大类并列。其实在一级类别中的鲍缘体类”与竿导体类”均未直接涉及到某一具体材料,为了方便,似乎均可省略。以往有的分类法是将鲍缘体’夕省略了,而将竿导体”作为另一类材料提出。但从各类材料来源看,绝缘体’夕和竿导体’夕一样,都列入大类 于级类别)中,似更妥当。
b.为了分类的合理、简明、实用,我们又将人们常用的能作电容器材料的价电材料’夕一词不列入分类中,而用它包括的非铁电类与铁电类作为二级类别,二者均可作陶瓷电容器材料。铁电类具有高介电常数,而非铁电类具有低介电常数,并无自发极化。同理,我们也不将能作电容器的半导体”一词列入分类中,只用其包括的还原氧化类及晶界层类作为二级类别,这样可避免分类中的层次紊乱。 c.在三级类别中,我们将铁电类再分为铁电体、反铁电体、驰豫型铁电体3小类。
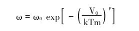
因为者都具有高介电常数;铁电体与反铁电体有相似处,如①都有自发极化,只是反铁电体的每个电畴中存在两个方向相反、大小相等的自发极化;②都有居里点;③铁电体有电滞回线,反铁电体有类似的双电滞回线;④介电常数与温度均有非线性关系。卯驰豫型铁电体与铁电体也有密切关系,如①驰豫型铁电体将互不联系的驰豫现象和铁电现象联系到一起;② Smolensky和Isupov等用成份起伏模型理论说明了高温时驰豫型铁电体处于完全顺电态,低温时转变为完全铁电态;. Sette:和stenge:提出有序无序模型理论,说明了退火时间越长、结构有序度越高,S值越大,材料介电频率色散逐渐消失,弥散相变逐渐退化,最后转变为正常铁电体现象;④姚熹、Cross等用微畴—宏畴转变与超顺电态模型理论,解释了弛豫型铁电体在直流偏置电场下降温冷却,相邻的微畴会形成较大的宏畴,介电频率色散消失,其性能转变为与正常铁电体相近的现象;⑤按B urn等学者提出的玻璃化模型理论,程忠阳、姚熹等利用驰豫型铁电体介于偶数介质与正常铁电体之间,将玻璃体、De场e介质和铁电体等各类电介质材料有机联系起来的特征,而得到Tm和。的关系:

式中:P—为描述介电驰豫强弱程度的一个物理参数。 典型偶极介质的P=1,驰豫行为最强;典型铁电相变介质的p= ,则无介电驰豫;而驰豫型铁电体处于二者之间,其P值为大于1的数值!“’。 d.本分类法是采用功能与结构相结合的分类方法,有的部分是以材料的某主要特性作为分类标志,但有的只能以材料结构分类,如半导体类陶瓷电容器材料中的2个类是以结构划分的。有的同一材料由于掺杂或加工工艺不同,而出现不同特征,故可能同时出现在多个类别中,并非属于分类中的重复现象。
5、结语:
上述陶瓷电容器材料的新分类法有3个特点: 宝)将绝缘体类与半导体类并列,作为两个大类别,较之将介电材料与半导体材料并列的分类方法,在逻辑上似更合理;妇将过去不少分类方法未列入的驰豫型铁电体归纳入铁电类中;犷按三级分类,层次清楚。 我们认为本分类系统有简明、合理、实用等优点,并将随着科学技术不断进步,新材料、新功能不断发现,可继续在各大类、类及小类中予以补充,使这个系统更加丰富·完善。
